【食品安全抽检】雁峰区市场监督管理局关于食品安全监督抽检信息的公告(2025年第四期)

发布时间: 2025-11-28 09:18:54
来源:雁峰区市场监督管理局

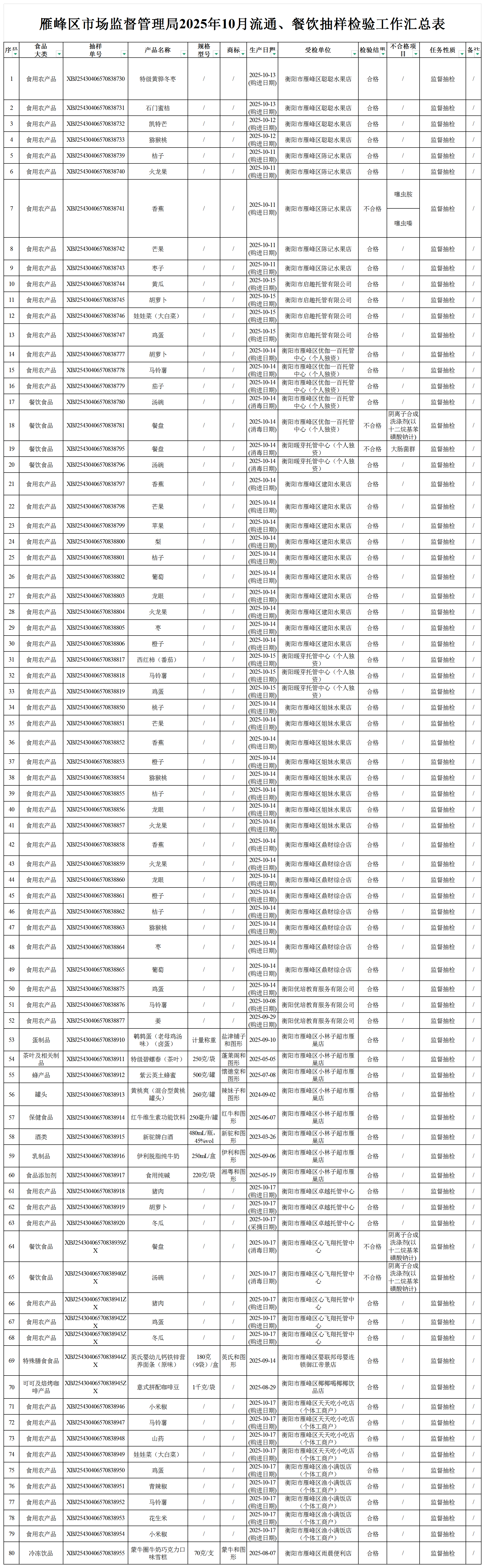
    近期,市场监督管理局组织开展监督抽检保健食品餐饮食品茶叶及相关制品蛋制品蜂产品罐头酒类可可及焙烤咖啡产品冷冻饮品乳制品食品添加剂食用农产品特殊膳食食品等13大类食品80批次样品,根据食品相关标准检验和判定,75批次样品合格,5批次样品不合格。

特此公示。


雁峰区市场监督管理局  

2025年11月25日    

   

相关文章: